Cambodia and Thailand Re-OK for Ceasefire After 20-Day Bloody Fighting
Chhay Sophal
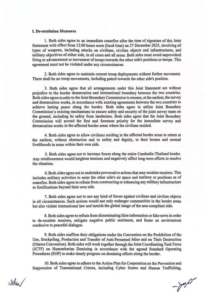
Phnom Penh (27 December 2025): Cambodia and Thailand have reached agreement on reaffirming their firm commitment to fully implement the ceasefire and seek peace, stability and security for the people living along the Kingdoms’ border.
The agreement has been made at the 3rd Special General Border Committee (GBC) meeting on Saturday morning conducted at Prom-Pak Kard Permanent Border Checkpoint, between Cambodia’s Pailin Province and Thailand’s Chanthaburi Province, and co-chaired by General Tea Seiha, Cambodian Deputy Prime Minister and Minister of National Defense, and his Thai counterpart General Nattaphon Narkphanit with the observation of the ASEAN Observer Team (AOT) of both sides.
The truce comes to be effective from 12 p.m on December 27.
The following is the statement:





